2018二级建造师施工管理考点精讲3
2Z103000施工进度管理
2Z103010建设工程项目进度控制的目标和任务
本节主要内容:1.总进度目标;
2.总进度目标的论证;
3.进度计划系统;
4.进度控制的任务。
2Z103011总进度目标
【考点】总进度目标的内涵(掌握)
1.总进度目标:指的是整个项目的进度目标,它是在项目的决策阶段项目定义时确定的。2.总进度目标的控制是业主方项目管理的任务。(建设项目总承包模式——建设项目总承包方协助业主方)
3.进度控制的前提:保证安全和质量。
4.总进度目标控制前,首先应分析和论证目标实现的可能性。
(若不能实现-提出调整建议-请决策者审议。)
5.总进度内容包括(注意与实施阶段的五小阶段进行区分)

注意:无保修阶段
【历年考题】
1.【2013】建设工程项目总进度目标的控制是()项目管理的任务。
A.业主方
B.设计方
C.施工方
D.供货方
【答案】A
【解析】建设工程项目总进度目标的控制是业主方项目管理的任务(若采用建设项目总承包的模式,协助业主进行项目总进度目标的控制也是建设项目总承包方项目管理的任务)。
2.【2009】建设工程项目的总进度目标是在项目的()阶段确定的。
A.决策
B.设计
C.招标
D.施工
【答案】A
【解析】建设工程项目的总进度目标值的是:整个项目的进度目标,它是在项目决策阶段项目定义时确定的。
3.【2015】在项目实施阶段,项目总进度计划包括()。
A.招标工作进度
B.保修工作进度
C.设计工作进度
D.工程施工进度
E.物资采购工作进度
【答案】ACDE
【解析】在项目的实施阶段,项目总进度不仅只是施工进度,它包括:
(1)设计前准备阶段的工作进度;
(2)设计工作进度;
(3)招标工作进度;
(4)施工前准备工作进度;
(5)工程施工和设备安装工作进度;
(6)工程物资采购工作进度;
(7)项目动用前的准备工作进度等。
【考点】建设工程项目总进度目标的论证(掌握)
1.大型建设工程项目总进度目标论证的核心工作是通过编制总进度纲要论证总进度目标实现的可能性。2.总进度纲要的主要内容(掌握)

【历年考题】
1.【2014】在进行建设工程项目总进度目标控制前,首先应()。
A.进行项目结构分析
B.确定项目的工作编码
C.编制各层进度计划
D.分析和论证目标实施的可能性
【答案】D
【解析】本题考查总进度目标。在进行建设工程项目总进度目标控制前,首先应分析和论证目标实现的可能性。
2.【2012】大型建设工程项目总进度目标论证的核心工作是通过编制()论证总进度目标实现的可能性。
A.总进度计划
B.总进度纲要
C.总进度规划
D.资金使用计划
【答案】B
【解析】大型建设工程项目总进度目标论证的核心工作是通过编制总进度纲要论证总进度目标实现的可能性。
3.建设工程项目总进度纲要的主要内容包括()。
A.项目实施的总体部署
B.项目结构分析
C.总进度规划
D.确定里程碑事件的计划进度目标
E.总进度目标实现的条件
【答案】ACDE
【解析】总进度纲要的主要内容包括:1.项目实施的总体部署;2.总进度规划;3.各子系统进度规划;4.确定里程碑事件的计划进度目标;5.总进度目标实现的条件和应采取的措施等。
【考点】建设工程项目总进度目标论证的工作步骤(掌握)

【历年考题】
【2016】建设工程项目总进度目标论证的工作包括:①进行项目结构分析;②调查研究和收集资料;③编制各层进度计划;④协调各层进度计划的关系和编制总进度计划;⑤确定项目的工作编码,其正确的工作步骤是()。
A.①→④→②→⑤→③
B.②→①→⑤→③→④
C.②→③→①→④→⑤
D.①→③→④→②→⑤
【答案】B
【解析】建设工程项目总进度目标论证的工作步骤如下:
(1)调查研究和收集资料;
(2)进行项目结构分析;
(3)进行进度计划系统的结构分析;
(4)确定项目的工作编码;
(3)编制各层(各级)进度计划;
(6)协调各层进度计划的关系和编制总进度计划;
(7)若所编制的总进度计划不符合项目的进度目标,则设法调整;
(8)若经过多次调整,进度目标无法实现,则报告项目决策者。
【考点】建设工程项目进度计划系统(掌握)
进度计划系统是一个逐步形成的过程,是进度控制的依据。
【历年考题】
1.【2014】关于建设工程项目管理进度计划系统的说法,正确的是()。
A.由多个相互独立的进度计划组成
B.由项目各参与方共同参与编制
C.其建立是逐步完善的过程
D.一个特定项目的进度计划系统是唯一的
【答案】C
【解析】本题考查建设工程项目进度计划系统。建设工程项目进度计划系统是由多个相互关联的进度计划组成的系统,它是项目进度控制的依据。由于各种进度计划编制所需要的必要资料是在项目进展过程中逐步形成的,因此项目进度计划系统的建立和完善也有一个过程,它也是逐步完善的。
2.【2013】按计划的功能划分,建设工程项目施工进度计划分为()。
A.控制性进度计划
B.指示性进度计划
C.指导性进度计划
D.总结性进度计划
E.实施性进度计划
【答案】ACE
【解析】本题考查建设工程项目总进度目标。由不同功能的计划构成的进度计划系统包括:控制性进度规划(计划)、指导性进度规划(计划)、实施性(操作性)进度计划等。
3.【2012】关于建设工程项目进度计划系统的说法,正确的有()。
A.项目进度计划系统是项目进度控制的依据
B.项目进度计划系统在项目实施前应建立并完善
C.项目各参与方可以编制多个不同的进度计划系统
D.项目进度计划系统中各计划应注意联系与协调
E.项目进度计划系统可以有多个不同周期的进度计划完成
【答案】ACDE
【解析】由于各种进度计划编制所需要的必要资料是在项目进展过程中逐步形成的,因此项目进度计划系统的建立和完善也有一个过程,它也是逐步完善的。
2Z103012进度控制的任务
【考点】各参与方进度控制的任务(掌握)

【历年考题】
1.【2009】业主方项目进度控制的任务是控制()的进度。
A.项目设计阶段
B.整个项目实施阶段
C.项目施工阶段
D.整个项目决策阶段
【答案】B
【解析】业主方进度控制的任务是控制整个项目实施阶段的进度,包括控制设计准备阶段的工作进度、设计工作进度、施工进度、物资采购工作进度以及项目动用前准备阶段的工作进度。
2.【2015】设计进度计划主要是确定各设计阶段的()。
A.专业协调计划
B.设计工作量计划
C.出图计划
D.设计人员配置计划
【答案】C
【解析】在国际上,设计进度计划主要是确定各设计阶段的设计图纸(包括有关的说明)的出图计划,在出图计划中标明每张图纸的出图日期。
3.【2012】下列建设工程项目进度控制工作中,属于施工方进度控制任务的是()。
A.部署项目动用准备工作进度
B.协调设计、招标的工作进度
C.控制施工工作进度
D.编制供货进度计划
【答案】C
【解析】施工方进度控制的任务是依据施工任务委托合同对施工进度的要求控制施工工作进度,这是施工方履行合同的义务。
4.【2010】施工方编制施工进度计划的依据之一是()。
A.施工劳动力需求计划
B.施工物资需要计划
C.施工任务委托合同
D.项目监理规划
【答案】C
【解析】施工方进度控制的任务是依据施工任务委托合同对施工进度的要求控制施工工作。
本节小结:
1.总进度目标的定义、确定时间、确定人;
2.总进度目标的论证的核心任务、论证的步骤;
3.总进度纲要的内容;
4.注意区分四类不同的进度计划系统及其内部的关系;
5.各参与方的进度控制任务。
2Z103020施工进度计划的类型及其作用
本节主要内容:1.施工方的两种进度计划;
2.控制性施工进度计划;
3.实施性施工进度计划。
2Z103021施工进度计划的类型
【考点】施工进度计划的类型(掌握)
【考点】建设工程项目施工进度计划按功能不同进行划分(前面已讲)
1.大型企业分为控制性施工进度计划(纲领文件)、指导性施工进度计划、实施性施工进度计划。2.小型企业分为控制性施工进度计划(纲领文件)、实施性施工进度计划。
【历年考题】
1.【2013】施工企业的施工生产计划与建设工程项目施工进度计划的关系是()。
A.施工生产计划是项目施工进度计划的集合
B.属同一个计划系统,但范围不同
C.属两个不同系统的计划,但两者紧密相关
D.属两个不同系统的计划,两者之间没有关系
【答案】C
【解析】施工企业的施工生产计划与建设工程项目施工进度计划虽属两个不同系统的计划,但是,两者是紧密相关的。前者针对整个企业,而后者则针对一个具体工程项目,计划的编制有一个自下而上和自上而下的往复多次的协调过程。
2.【2011】在安排一个小型项目施工的进度时,只需编制()。
A.施工总进度方案
B.施工总进度规划
C.施工总进度计划
D.施工总进度目标
【答案】C
【解析】本题考查施工进度计划的类型。整个项目施工总进度方案、施工总进度规划、施工总进度计划,应视项目的特点、条件和需要而定,大型建设工程项目进度计划的层次就多一些,而小型项目只需编制施工总进度计划。
3.【2016】施工中可作为整个项目进度控制的纲领性文件,并且作为组织和指挥施工依据的是()。
A.施工承包合同
B.项目年度施工进度计划
C.控制性施工进度计划
D.实施性施工进度计划
【答案】C
【解析】控制性施工进度计划是整个项目施工进度控制的纲领性文件,是组织和指挥施工的依据。
2Z103022控制性施工进度计划的作用
【考点】控制性进度计划(掌握)
1.一般而言,一个工程项目的施工总进度规划或施工总进度计划是工程项目控制性施工进度计划。2.控制性进度计划的目的
(1)通过计划的编制,对施工进度目标进行再论证;(2)对进度目标进行分解,确定施工的总体部署,并确定里程碑事件的进度目标(或称其为控制节点的进度目标);
(3)作为进度控制的依据。
【考点】控制性进度计划的作用(掌握)
控制性施工进度计划是整个项目施工进度控制的纲领性文件。
【历年考题】
1.【2015】工程项目的施工总进度计划属于()。
A.项目的施工总进度方案
B.项目的指导性施工进度计划
C.施工的年度施工计划
D.项目的控制性施工进度计划
【答案】D
【解析】一般而言,一个工程项目的施工总进度规划或施工总进度计划是工程项目的控制性施工进度计划。
2.【2010】控制性施工进度计划的内容不包括()。
A.对承包合同的进度目标进行分析论证
B.确定施工的总体部署
C.划分各作业班组进度控制的责任
D.确定控制节点的进度目标
【答案】C
【解析】控制性施工进度计划编制的主要目的是通过计划的编制,以对施工承包合同所规定的施工进度目标进行再认证,并对进度目标进行分解,确定施工的总体部署,并确定为实现目标的里程碑事件的进度目标(或称其为控制节点的进度目标),作为进度控制的依据。
3.【2009】编制控制性施工进度计划的主要目的是()。
A.分解承包合同规定的进度目标,确定控制节点的进度目标
B.指导施工班组的作业安排
C.确定承包合同的工期目标
D.参与投标竞争,提高投标竞争力
【答案】A
【解析】控制性施工进度计划编制的主要目的是通过计划的编制,以对施工承包合同所规定的施工进度目标进行再论证,并对进度目标进行分解,确定施工的总体部署,并确定为实现进度目标的里程碑事件的进度目标(或称其为控制节点的进度目标),作为进度控制的依据。
4.【2012】编制控制性施工进度计划的主要目的有()。
A.对施工承包合同所规定的施工进度目标进行再论证
B.对进度目标进行分解
C.确定为实现进度目标的里程碑事件的进度目标
D.确定承包合同目标工期
E.确定施工的总体部署
【答案】ABCE
【解析】控制性施工进度计划编制的主要目的是通过计划的编制,以对施工承包合同所规定的施工进度目标进行再论证,并对进度目标进行分解,确定施工的总体部署,并确定为实现进度目标的里程碑事件的进度目标(或称其为控制节点的进度目标),作为进度控制的依据。
2Z103023实施性施工进度计划的作用
【考点】实施性施工进度计划的作用(理解)
1.月度施工计划和旬施工作业计划,是用于直接组织施工作业的计划,它是实施性施工进度计划。2.实施性进度计划的作用:

【历年考题】
1.【2015】建设工程项目的实施性进度计划是指()。
A.季度施工计划和月度施工计划
B.单位工程施工计划和月度施工计划
C.季度施工计划和单位工程施工计划
D.月度施工计划和旬施工计划
【答案】D
【解析】月度施工计划和旬施工作业计划是用于直接组织施工作业的计划,它是实施性施工进度计划。
2.【2011】下列进度计划中,可直接用于组织施工作业的计划是()。
A.施工企业的旬生产计划
B.建设工程项目施工的月度施工计划
C.施工企业的月度生产计划
D.建设工程项目施工的季度施工计划
【答案】B
【解析】项目施工的月度施工计划和施工作业计划是用于直接组织施工作业的计划,是实施性施工进度计划。
3.【2016】关于实施性施工进度计划及其作用的说法,正确的有()。
A.可以论证项目进度目标
B.可以确定里程碑事件的进度目标
C.可以确定项目的年度资金需求
D.可以确定施工作业的具体安排
E.以控制性施工进度计划为依据编制
【答案】DE
【解析】实施性施工进度计划的主要作用如下:
(1)确定施工作业的具体安排;
(2)确定(或据此可计算)一个月度或旬的人工需求(工种和相应的数量);
(3)确定(或据此可计算)一个月度或旬的施工机械的需求(机械名称和数量);
(4)确定(或据此可计算)一个月度或旬的建筑材料(包括成品、半成品和辅助材料等)的需求(建筑材料的名称和数量);
(5)确定(或据此可计算)一个月度或旬的资金的需求等。
控制性施工进度计划是编制实施性进度计划的依据。
4.【2015】建设工程项目实施性施工计划的主要作用有()。
A.确定施工作用的具体安排
B.确定计划期内的人、机、料需求
C.确定控制性进度计划的关键指标
D.确定里程碑计划节点
E.确定计划期内的资金需求
【答案】ABE
【解析】实施性施工进度计划的主要作用如下:
(1)确定施工作业的具体安排;
(2)确定(或据此可计算)一个月度或旬的人工需求(工种和相应的数量);
(3)确定(或据此可计算)一个月度或旬的施工机械的需求(机械名称和数量);
(4)确定(或据此可计算)一个月度或旬的建筑材料(包括成品、半成品和辅助材料等)的需求(建筑材料的名称和数量);
(5)确定(或据此可计算)一个月度或旬的资金的需求等。
本节小结:
1.施工方的两种进度计划区别与联系;
2.控制性施工进度计划的目的和作用:
目的:再论证、目标分解、节点目标、定部署、进度控制依据;
作用:论证目标、目标分解、定节点目标、其他计划依据、动态控制依据。
3.实施性施工进度计划的作用:
(月、旬度:确定人、机、料、钱的需求)
2Z103030施工进度计划的编制方法
本节主要内容:1.横道图;
2.双代号网络计划图;
3.双代号时标网络计划图;
4.单代号网络计划图;
5.关键线路、关键工作、时差。
2Z103031横道图进度计划的编制方法
【考点】横道图的特点(掌握)
1.最简单并运用最广;2.可以将工作的简要说明放在横道上。
3.适用于小型项目或大型项目的子项目上,可用于计算资源需求量、概要预示进度。
4.横道图的优缺点:

【历年考题】
1.【2016】关于横道图进度计划的说法正确的是()。
A.尤其适用于较大的进度计划系统
B.各项工作必须按照时间先后进行排序
C.不能将工作简要说明直接放在横道上
D.可用于计算资源需要量
【答案】D
【解析】横道图进度计划法也存在一些问题,如:
(1)工序(工作)之间的逻辑关系可以设法表达,但不易表达清楚;
(2)适用于手工编制计划;
(3)没有通过严谨的进度计划时间参数计算,不能确定计划的关键工作、关键路线与时差;
(4)计划调整只能用手工方式进行,其工作量较大;
(5)难以适应较大的进度计划系统。
横道图的另一种可能的形式是将工作简要说明直接放在横道上。横道图用于小型项目或大型项目子项目上,或用于计算资源需要量、概要预示进度,也可用于其他计划技术的表示结果。
2.【2014】关于横道图进度计划表的说法,正确的是()。
A.可以将工作简要说明直接放到横道图上
B.计划调整比较方便
C.可以直观地确定计划的关键线路
D.工作逻辑关系易于表达清楚
【答案】A
【解析】本题考查横道图进度计划的编制方法。横道图的另一种可能的形式是将工作简要说明直接放在横道图上。其缺点为:工序(工作)之间的逻辑关系可以设法表达,但不易表达清楚;不能确定计划的关键工作、关键路线与时差;计划调整只能用手工方式进行,其工作量较大。
3.【2015】一般情况下,横道图能反映出工作的()。
A.总时差
B.最迟开始时间
C.持续时间
D.自由时差
【答案】C
【解析】横道图计划表中的进度线(横道)与时间坐标相对应,表示的是工作的持续时间,这种表达方式较直观。
2Z103032工程网络计划的类型和应用
【考点】工程网络计划的类型(理解)
【考点】双代号网络计划的基本概念(掌握)
双代号网络图是以箭线及其两端节点的编号表示工作的网络图,例如:
1.箭线
(1)实箭线:代表实工作,既占用时间,又消耗资源;
(2)虚箭线:代表虚工作,既不占用时间,又不消耗资源;
虚箭线是实际工作中并不存在的一项虚设工作,正确表达工作之间的逻辑关系,起着工作之间的联系、区别和断路三个作用。

(1)联系

(2)区分

(3)断路

2.节点
节点是网络图中箭线之间的连接点。
网络图中有三个类型的节点:
起点节点(一个)、中间节点、终点节点(一个)
一项工作应当只有唯一的一条箭线和相应的一对节点表示,节点的编号顺序应从小到大,可不连续,但不允许重复。

3.线路
从起始节点到终点节点的通路叫线路。
注意:工作持续时间最长者为关键线路,且至少有一条。

4.逻辑关系
工艺关系(不可逆转)
组织关系(可以调整)
【历年考题】
1.【2013】双代号网络中,工作是用()表示的。
A.节点及其编号
B.箭线及其两端节点编号
C.箭线及其起始节点编号
D.箭线及
【答案】B
【解析】双代号网络图是以箭线及两端节点编号表示工作的网络图。
2.【2015】在双代号网络图中,虚箭线的作用有()。
A.指向
B.联系
C.区分
D.过桥
E.断路
【答案】BCE
【解析】虚箭线是实际工作中并不存在的一项虚设工作,故它们既不占用时间,也不消耗资源,一般起着工作之间的联系、区分和断路三个作用。
3.【2015】某网络计划如图,逻辑关系正确的是()。

A.E的紧前工作是BD
B.A完成后同时进行CF
C.AB均完成后进行E
D.F的紧前工作是DE
【答案】A
【解析】紧排在本工作之前的工作称为紧前工作。紧排在本工作之后的工作称为紧后工作。与之平行进行的工作称为平行工作。E的紧前工作是B、D,故A对;A的紧后工作只有C,因此A完成后,进行C,故B错误;E的紧前工作是B、D,因此C错误;F的紧前工作是C、E,故D错误
【考点】双代号网络图绘图规则(掌握)
(1)节点编号由小到大,不许重复;(2)一个起点、一个终点;
(3)无线段,无双向箭线,无无节点箭线;
(4)无循环回路
(5)母线法(某节点有多条外向箭线或多条内向箭线时)

(6)箭线不宜交叉,当交叉不可避免时,可用过桥法或指向法。

(7)正确表达逻辑关系
【历年考题】
1.【2014】关于双代号网络图绘制规则的说法,正确的是()。
A.箭线不能交叉
B.关键工作必须安排在图画中心
C.只有一个起点节点
D.工作箭线只能用水平线
【答案】C
【解析】本题考查双代号网络计划的绘图规则。A可以交叉,比如过桥法或指向法;B不是必须的;D可以竖向。
2.【2010】下列关于双代号网络计划绘图规则的说法,正确的有()。
A.网络图必须正确表达各工作间的逻辑关系
B.网络图中可以出现循环回路
C.网络图中一个节点只有一条箭线引入和一条箭线引出
D.网络图中严禁出现没有箭头节点或没有箭尾节点的箭线
E.双代号网络图中应只有一个起点节点和一个终点节点
【答案】ADE
【解析】双代号网络计划的绘图规则包括:①双代号网络图必须正确表达已定的逻辑关系;②双代号网络图中,严禁出现循环回路;③双代号网络图中,在节点之间严禁出现带双向箭头或无箭头的边线;④双代号网络图中,严禁出现没有箭头节点或没有箭尾节点的箭线;
⑤当双代号网络图的某些节点有多条外向箭线或多条内向箭线时,为使图形简洁,可使用母线法绘制(但应满足一项工作用一条箭线和相应的一对节点表示);⑥绘制网络图时,箭线不宜交叉。当交叉不可避免时,可用过桥法或指法;⑦双代号网络图中应只有一个起点节点和一个终点节点(多目标网络计划除外),而其他所有节点均应是中间节点;⑧双代号网络图应条理清楚,布局合理。
【答案】ADE
【解析】双代号网络计划的绘图规则包括:①双代号网络图必须正确表达已定的逻辑关系;②双代号网络图中,严禁出现循环回路;③双代号网络图中,在节点之间严禁出现带双向箭头或无箭头的边线;④双代号网络图中,严禁出现没有箭头节点或没有箭尾节点的箭线;
3.【2013】某分部工程双代号网络计划如下图所示其存在的绘图错误有()。

A.多个终点节点
B.存在循环回路
C.多个起点节点
D.节点编号有误
E.有多余虚工作
【答案】CDE
【解析】双代号网络图的绘制规则。
【考点】双代号网络计划时间参数的计算(掌握)
1.工作持续时间:(Di-j)2.工期:(T)
(1)计算工期,Tc表示:根据网络计划时间参数计算出来的工期。
(2)要求工期,Tr表示:业主所要求的工期。
(3)计划工期,Tp表示:根据要求工期和计算工期所确定的作为实施目标的工期。
3.网络计划中工作的6个时间参数及计算

(1)最早开始时间(ESi-j);(2)最早完成时间(EFi-j)
(3)最迟完成时间(LFi-j);(4)最迟开始时间(LSi-j)
(5)总时差(TFi-j);(6)自由时差(FFi-j),
例题:

六时标注法总结:
ES、EF:定头算尾、顺加取大;
LS、LF:定尾算头、逆减取小;
TF:上—上、下—下(后面减前面);
FF:本工作自由时差等于紧后工作的ES(不同取小)减本工作EF。
【历年考题】
1.【2011】在计算双代号网络计划的时间参数时,工作的最早开始时间应为其所有紧前工作()。
A.最早完成时间的最小值
B.最早完成时间的最大值
C.最迟完成时间的最小值
D.最迟完成时间的最大值
【答案】B
【解析】最早开始时间等于所有紧前工作最早完成时间的最大值。
2.【2016】某工程有A、B、C、D、E五项工作,其逻辑关系为A、B、C完成后D开始,C完成后E才能开始,则据此绘制的双代号网络图是()

【答案】A
【解析】根据逻辑关系,正确的是A。
3.【2012】下列网络计划中的计算工期是()。

A.9
B.11
C.12
D.13
【答案】C
【解析】可以尝试线路最长的为关键线路为A-C-E工期=5+4+3=12.
4.【2016】某网络计划中,工作A有两项紧后工作C和D,C、D工作的持续时间分别为12天、7天,C、D工作的最迟完成时间分别为第18天、第10天,则工作A的最迟完成时间是第()天。
A.3
B.5
C.6
D.8
【答案】A
【解析】工作C的最迟开始时间=最迟完成时间-持续时间=18-12=6天。
工作D的最迟开始时间=最迟完成时间-持续时间=10-7=3天。
工作A的最迟完成时间=紧后工作最迟开始时间的最小值=min(6,3)=3天。
5.【2016】某网络计划中,已知工作M的持续时间为6天,总时差和自由时差分别为3天和1天;检查中发现该工作实际持续时间为9天,则其对工程的影响是( )。
A.既不影响总工期,也不影响其紧后工作的正常进行
B.不影响总工期,但使其紧后工作的最早开始时间推迟2天
C.使其紧后工作的最迟开始时间推迟3天,并使总工期延长1天
D.使其紧后工作的最早开始时间推迟1天,并使总工期延长3天
【答案】B
【解析】工作M拖延了3天,因此总工期不受影响,紧后工作最早开始时间将推迟3-1=2天。
6.【2016】某网络计划中,工作Q有两项紧前工作M、N,M、N工作的持续时间分别为4天、5天,M、N、工作的最早开始时间分别为第9天、第11天,则工作Q的最早开始时间是第()天
A.9
B.14
C.15
D.16
【答案】D
【解析】工作M的最早完成时间=最早开始时间+持续时间=9+4=13天。
工作N的最早完成时间=最早开始时间+持续时间=11+5=16天。
工作Q的最早开始时间=紧前工作最早完成时间的最大值,即max(13,16)=16天。
7.【2013】某工程网络计划中,工作N最早完成时间为第17天,持续时间为5天,该工作有三项紧后工作,它们的最早开始时间分别为第25天、第27天和第30天,则工作N的自由时差为()天。
A.7
B.2
C.3
D.8
【答案】D
【解析】自由时差是指在不影响其紧后工作最早开始的前提下,该工作可以利用的机动时间。工作N的后面有三项紧后工作,它们的最早开始时间分别为第25天、第27天和第30天,则工作N的自由时差为25-17=8(天)。
【考点】关键工作和关键线路的确定(掌握)
①关键工作关键工作指的是网络计划中总时差最小的工作。
当计划工期等于计算工期时,总时差为零的工作就是关键工作。
②关键线路
自始至终全部由关键工作组成的线路为关键线路,或线路上总的工作持续时间最长的线路为关键线路。
举例:

【历年考题】
1.【2014】双代号网络计划中的关键线路是指()。
A.总时差为零的线路
B.总的工作持续时间最短的线路
C.一经确定,不会发生转移的线路
D.自始至终全部由关键工作组成的线路
演示:

【答案】D
【解析】自始至终全部由关键工作组成的线路,或线路上总的工作持续时间最长的线路为关键线路。
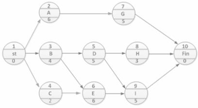
2.【2014】双代号网络计划如下图所示(时间单位:天),其关键路线有()条。

A.4
B.5
C.6
D.7
【答案】C
【解析】本题考查双代号网络计划。关键路线是:1→4→5→6→8→9→11工期3+5+4+3=15
1→4→5→6→8→10→11工期3+5+4+3=15;
1→4→5→6→7→10→11工期3+5+4+3=15;
1→2→3→4→5→6→8→9→11工期3+5+4+3=15;
1→2→3→4→5→6→8→10→11工期3+5+4+3=15;
1→2→3→4→5→6→7→10→11工期3+5+4+3=15;
3.【2015】某双代号网络计划如下图所示(时间单位:天),其关键线路有()

A.4
B.3
C.2
D.1
【答案】C
【解析】关键线路A-E-M-H-K;C-F-E-M-H-K。
4.【2012】关于双代号网络计划的说法,正确的有()。
A.可能没有关键线路
B.至少有一条关键线路
C.在计划工期等于计划工期时,关键工作为总时差为零的工作
D.在网络计划执行工程中,关键线路不能转移
E.由关键节点组成的线路,就是关键线路
【答案】BC
【解析】A网络计划一定有关键线路;D网络计划修改后会出现关键线路的转移;E由关键节点组成的不一定是关键线路。
【考点】双代号时标网络计划图(掌握)
1.规定:(1)实箭线表示实工作,虚箭线表示虚工作,波形线表示自由时差。
(2)虚工作必须以垂直方向的虚箭线表示,有自由时差时加波形线表示。

2.特点:
(1)兼有网络计划与横道图计划的优点;
(2)直接显示出工期、各项工作的开始与完成时间,工作的自由时差及关键线路;
(3)可以统计每一个单位时间的资源需要量,以便进行资源优化和调整;
(4)修改麻烦,需要重新绘图(运用计算机后可以)。
【历年考题】
1.【2010】双代号时标网络计划中,波形线表示工作的()。
A.总时差
B.自由时差
C.相干时差
D.工作时间
【答案】B
【解析】双代号时标网络计划中,波形线表示工作的自由时差。
2.【2009】双代号时标网络计划的特点之一是()。
A.可以在图上直接显示工作开始与结束时间和自由时差,但不能显示关键线路
B.不能在图上直接显示工作开始与结束时间,但可以直接显示自由时差和关键线路
C.可以在图上直接显示工作开始与结束时间,但不能显示自由时差和关键线路
D.可以在图上直接显示工作开始与结束时间、自由时差和关键线路
【答案】D
【解析】双代号时标网络计划是以水平时间坐标为尺度编制的双代号网络计划,其主要特点包括:①时标网络计划兼有网络计划与横道计划的优点,能够清楚地表明计划的时间进程,使用方便;②时标网络计划能在图上直接显示出各项工作的开始与完成时间、工作的自由时差及关键线路;③在时标网络计划中可以统计每一个单位时间对资源的需要量,以便进行资源优化和调整;④由于箭线受到时间坐标的限制,当情况发生变化时,对网络计划的修改比较麻烦,往往要重新绘图。
【考点】双代号时标网络计划参数的计算
(1)直接显示各项工作的开始与完成时间,工作的自由时差及关键线路;以波形线的长度表示自由时差。
(2)总时差需要计算。
(3)关键线:没有波形线的通路即为关键线路。
(4)计算工期:终点节点所对应的时刻点。
【例题】某分部工程双代号时标网络计划如下图所示,该计划所提供的正确信息有()。

A.工作B的总时差为3天
B.工作C的总时差为2天
C.工作D为关键工作
D.工作E的总时差为3天
E.工作G的自由时差为2天
【答案】ABCD
【解析】双代号时标网络图中,波形线的长度为自由时差。其他工作的总时差=紧后工作总时差的最小值+本工作的自由时差,最后一项工作的总时差=本身的自由时差。由图可知,TFB=0+3=3即A正确;TFC=0+2=2,即B正确;TFE=0+3=3,即D正确;G工作上,没有自由时差即FFG=0,即E错误。双代号时标网络图中,没有波形线的通路是关键线路,此图的关键线路为:A-D-H-F,因此D为关键工作。
总结——双代号时标网络图
(1)ES、EF:可从图中读出;
(2)FF:可从图中读出;
(3)TF:TFij=FFij+(TFjk)Min;
TFij=从本工作起到终点节点,n条线路中,波形线长度和的最小值;
(4)LS、LF:根据ES、EF和TF推算;
(5)关键线路:没有波形线的通路是关键线路。
找出关键线路并计算B、E工作的六时

双代号网络图
时标化(简便算法)原理:累加时间取大定节点,减小定波线

【历年考题】
1.【2012】某工程双代号网络计划如图所示(时间单位:天),则该计划的关键线路是()。

A.1-2-3-4-5-6
B.1-2-3-4-6
C.1-3-4-6
D.1-3-5-6
【答案】C
【解析】求得的总工期最长的就是关键线路:5+6+5=16,即1-3-4-6。
2.【2012】下列网络计划图中,工作E的最迟开始时间是()。

A.4
B.5
C.6
D.7
【答案】C
【解析】最迟开始时间等于紧后工作最迟完成时间的最小值减去其持续时间,9-3=6
3.【2016】某双代号网络计划如下图,其关键路线为()。

A.①-②-⑤-⑥
B.①-②-③-⑤-⑥
C.①-②-③-④-⑤-⑥
D.①-②-④-⑤-⑥
【答案】B
【解析】关键线路为①-②-③-⑤-⑥,工期为20天。
【历年考题】
1.【2012】某工程双代号网络计划如图所示(时间单位:天),则该计划的关键线路是()。

A.1-2-3-4-5-6
B.1-2-3-4-6
C.1-3-4-6
D.1-3-5-6
【答案】C
【解析】求得的总工期最长的就是关键线路:5+6+5=16,即1-3-4-6。
2.【2012】下列网络计划图中,工作E的最迟开始时间是()。

A.4
B.5
C.6
D.7
【答案】C
【解析】最迟开始时间等于紧后工作最迟完成时间的最小值减去其持续时间,9-3=6
3.【2016】某双代号网络计划如下图,其关键路线为()。

A.①-②-⑤-⑥
B.①-②-③-⑤-⑥
C.①-②-③-④-⑤-⑥
D.①-②-④-⑤-⑥
【答案】B
【解析】关键线路为①-②-③-⑤-⑥,工期为20天。
【考点】单代号网络图(掌握)
1.节点
单代号网络图中的每一个节点表示一项工作,如图所示:

注意:箭线的箭尾节点编号应小于箭头节点的编号。一项工作必须有唯一的一个节点及相应的一个编号。
2.箭线
(1)箭线表示紧邻工作之间的逻辑关系,
(2)箭线既不占用时间,也不消耗资源;
(3)无虚箭线(可用虚节点表示虚工作)
3.线路
节点编号从小到大依次表述。
【考点】单代号网络图的绘图规则(掌握)
(1)必须正确的表达逻辑关系;
(2)严禁出现循环回路;
(3)严禁出现双向箭头、无箭头连线;
(4)严禁出现无箭尾、无箭头的箭线;
(5)箭线不宜交叉,不可避免时,可采用过桥法或指向法;
(6)只应有一个起点节点和终点节点
当网络图中有多项起点节点或多项终点节点时,应在网络图的两端分别设置一项虚工作,作为该网络图的起点节点(St)和终点节点(Fin)。

【历年考题】
【2014】某单代号网络图如下图所示,存在的错误有()。

A.多个起点节点
B.有多余虚箭线
C.出现交叉箭线
D.没有终点节点
E.出现循环回路
【答案】ABC
【解析】单代号网络图中只应有一个起点节点;单代号网络图不用虚箭线表示;单代号网络图的绘图箭线不宜交叉,当交叉不可避免时,可采用过桥法或指向法绘制。
【考点】单代号网络计划时间参数的计算(掌握)
(六时标注法如同双代号网络图)

【考点】时间间隔的计算(掌握)
【例题】计算工作D的自由时差,以及工作D与工作H、I的时间间隔

【历年考题】
1.【2012】某网络计划中,工作A的紧后工作是B和C,工作B的最迟开始时间是14,最早开始时间是10;工作C的最迟完成时间是16,最早完成时间是14;工作A与工作B和工作C的间隔时间均为5天,工作A的总时差为()天。
A.3
B.7
C.8
D.10
【答案】B
【解析】工作B的总时差=最迟开始-最早开始=14-10=4天,工作C的总时差=最迟完成-最早完成-16-14=2天工作A与工作B和工作C的间隔时间均为5天,据公式本工作的总时差=min{后面工作的总时差+本工作的自由时差},所以A的总时差=5+2=7天。
2.【2012】某网络计划中,工作M的最早完成时间是第8天,最迟完成时间是13天,工作的持续时间是4天,与所有紧后工作的间隔时间最小值是2天,则该工作的自由时差为()天
A.2
B.3
C.4
D.5
【答案】A
【解析】当工作i有紧后工作j时,其自由时差FFi等于该工作与其紧后工作j之间的时间间隔的最小值,工作M与所有的紧后工作的间隔时间最小值为2天,所以自由时差为2天。
【考点】关键工作和关键线路的确定(掌握)
(注意与双代号网络图区分)
(1)关键工作:总时差最小的工作是关键工作。
(2)关键线路的确定按以下规定:从起点节点开始到终点节点均为关键工作,且所有工作的时间间隔为零的线路为关键线路。
【考点】三种网络计划图中关键线路的调整(掌握)
当计算工期不满足能满足要求工期时:压缩关键工作
(1)缩短持续时间对质量和安全影响不大的工作;
(2)有充足备用资源的工作;
(3)缩短持续时间所需增加的费用最少的工作等。
【历年考题】
【2010】工程网络计划工期优化过程中,在选择缩短持续时间的关键工作时应考虑的因素有()。
A.持续时间最长的工作
B.缩短持续时间对质量和安全影响不大的工作
C.缩短持续时间所需增加的费用最小的工作
D.缩短持续时间对综合效益影响不大的工作
E.有充足备用资源的工作
【答案】BCE
【解析】当计算工期不能满足要求工期时,可通过压缩关键工作的持续时间以满足工期要求,在选择缩短持续时间的关键工作时,宜考虑的因素包括:①综合持续时间对质量和安全影响不大的工作;②有充足备用资源的工作;③缩短持续时间所需增加的费用最小的工作等。
【网络计划图知识点总结】


本节小结:
1.横道图的优缺点;
2.双代号网络计划图:
(1)箭线、节点、线路的理解、虚工作的作用;
(2)起点、终点各一个;
(3)节点编号由小到大,可不连续,但不重复;
(4)逻辑关系:工艺、组织;
(5)六时的计算;
(6)自由时差与总时差的区别。
(7)工作时间延长:
小于自由时差:无影响;
大于自由时差、小于总时差:影响紧后工作最早开始,不影响总工期;
大于总时差:影响工期。
3.单代号网络计划图:
(1)箭线代表逻辑关系;
(2)时间间隔与自由时差的区别。
4.双代号时标网络计划图:
(1)关键线路的寻找;
(2)总时差的计算。
5.关键线路、关键工作的寻找:
(1)持续时间最长的线路为关键线路;
(2)全部由关键节点组成的线路不一定是关键线路;
(3)由关键节点组成的工作不一定是关键工作。
2Z103040施工进度控制的任务和措施
本节主要内容:
1.进度控制的任务;
2.四大纠偏措施。
2Z103041施工进度控制的任务
1.施工方进度控制的任务是依据施工任务委托合同对施工进度的要求控制施工工作进度。
2.施工方进度控制的主要工作环节:
(1)编制施工进度计划及相关的资源需求计划
(2)组织施工进度计划的实施
(3)施工进度计划的检查与调整
【考点】施工进度计划的检查与调整(理解)
|
施工进度计划检查的内容 |
(1)检查工程量的完成情况 |
| (2)检查工作时间的执行情况 | |
| (3)检查资源使用及与进度保证的情况 | |
| (4)前一次进度计划检查提出问题的整改情况 |
【考点】施工进度计划的调整应包括(理解)
|
施工进度计划的调整应包括 |
(1)工程量的调整 |
| (2)工作(工序)起止时间的调整 | |
| (3)工作关系的调整 | |
| (4)资源提供条件的调整 | |
| (5)必要目标的调整 |
【历年考题】
1.【2015】施工进度控制的主要工作环节包括:①编制资源需求计划;②编制施工进度计划;③组织进度计划的实施;④施工进度计划的检查与调整。其正确的工作程序是()。
A.①—②—③—④
B.②—①—③—④
C.②—①—④—③
D.①—③—②—④
【答案】B
【解析】施工方进度控制的主要工作环节包括:
(1)编制施工进度计划及相关的资源需求计划;
(2)组织施工进度计划的实施;
(3)施工进度计划的检查与调整。
2.【2014】施工进度计划调整的内容,不包括()。
A.工作关系
B.工程量
C.资源提供条件
D.工程质量
【答案】D
【解析】本题考查施工进度控制的任务。施工进度计划的调整应包括下列内容:
①工程量的调整;
②工作(工序)起止时间的调整;
③工作关系的调整;
④资源提供条件的调整;
⑤必要目标的调整。
3.【2016】施工进度计划检查的内容包括()。
A.实际进度与计划进度的偏差
B.前一次检查提出问题的整改情况
C.资源使用及进度保证的情况
D.工作时间的执行情况
E.工程量的完成情况
【答案】BCDE
【解析】施工进度计划检查的内容包括:
①检查工程量的完成情况;
②检查工作时间的执行情况;
③检查资源使用及与进度保证的情况;
④前一次进度计划检查提出问题的整改情况。
4.【2015】施工方进度计划的调整内容有()。
A.合同工期目标的调整
B.工程量的调整
C.工作起止时间的调整
D.工作关系的调整
E.资源提供条件的调整
【答案】BCDE
【解析】施工进度计划的调整应包括下列内容:
①工程量的调整;
②工作(工序)起止时间的调整;
③工作关系的调整;
④资源提供条件的调整;
⑤必要目标的调整。
2Z103042施工进度控制的措施
【考点】四大纠偏措施(掌握)
1.组织措施:
(1)建全组织体系、岗位人员、调整进度计划、组织论、加强审批程序、会议组织设计等
(2)会议的内容:类型、主持人、参加单位和人员、召开时间、会议文件的整理、分发和确认。
2.管理措施:
管理思想、方法、手段、承发包模式、合同管理、风险管理、网络计划应用、信息技术应用。
3.经济措施:
资金、激励措施、资源需求等。
4.技术措施:
设计、施工技术的选用、改变施工技术、施工方法和施工机械等。
【历年考题】
1.【2016】下列施工方进度控制的措施中,属于组织措施的是()。
A.应用工程网络技术编制进度计划
B.重视信息技术的应用
C.优选施工方案
D.编制进度控制工作流程
【答案】D
【解析】A、B属于管理措施。C属于技术措施。
2.【2015】下列施工进度控制措施中,属于管理措施的是()。
A.编制进度控制工作流程
B.优选施工方案
C.重视信息技术的应用
D.进行进度控制的会议组织设计
【答案】C
【解析】AD属于组织措施;B属于技术措施。
3.【2014】下列施工方进度控制的措施中,属于技术措施的是()。
A.确定进度控制的工作流程
B.优化施工方案
C.选择合适的施工承发包方式
D.选择合理的合同结构
【答案】B
【解析】本题考查施工进度控制的措施。A属于组织措施;CD属于管理措施。
4.【2013】下列建设工程项目进度控制的措施中,属于技术措施的是()。
A.确定各类进度计划的审批程序
B.选择合理的合同结构
C.选择工程承发包方式
D.优化项目的设计方案或施工方案
【答案】D
【解析】A属于组织措施;B、C属于管理措施
本节主要内容:
1.进度控制的任务:委托合同要求的进度;
2.控制环节:编制进度计划、资源需求计划、实施、检查与调整;
3.进度计划检查的内容:工程量、工作时间的执行、资源的使用与进度的保证、整改问题;
4.进度报告的内容:实际情况、问题原因、影响、措施、进度预测;
5.进度计划调整的内容:工程量、工序起止时间、工作关系、资源提供情况、必要目标的调整。
6.四大纠偏措施。
责编:liuyue
速记宝典课程
通过秘籍:过六关,斩五将!
考试软件评论
微信群
加微信号:13545285293(可申请加入微信群)


