易错题:节点编号可以跳过去吗?
小编提醒:“如果想咨询更多类似的问题,可以加小编的微信,微信号是:13545285293(手机微信同号),小编将随时回答你的疑问。”
题号:350645 题目链接为》》
(2017年真题)
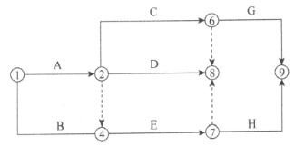
根据下表逻辑关系绘制的双代号网络图如下,存在的绘图错误是()。
A.节点编号不对
B.逻辑关系不对
C.有多个终点节点
D.有多个起点节点
答案:C
解释:2018版教材P137页
双代号网络图中应只有一个起点节点和一个终点节点,图中存在⑧、⑨两个终点节点。
有人问:节点编号3呢
答:可以没有节点编号3,但不能从大指向小
小编推荐:
二级建造师《施工管理》易错题系列汇总》》
题号:350645 题目链接为》》
(2017年真题)
根据下表逻辑关系绘制的双代号网络图如下,存在的绘图错误是()。


A.节点编号不对
B.逻辑关系不对
C.有多个终点节点
D.有多个起点节点
答案:C
解释:2018版教材P137页
双代号网络图中应只有一个起点节点和一个终点节点,图中存在⑧、⑨两个终点节点。
有人问:节点编号3呢
答:可以没有节点编号3,但不能从大指向小
小编推荐:
二级建造师《施工管理》易错题系列汇总》》
责编:魔考大师编辑
速记宝典课程
通过秘籍:过六关,斩五将!
考试软件评论
微信群
加微信号:13545285293(可申请加入微信群)


